求助帮验证该算法的时间复杂度
  • 板块学术版
  • 楼主Leo_Anderson
  • 当前回复4
  • 已保存回复4
  • 发布时间2025/7/25 11:05
  • 上次更新2025/7/25 15:51:15
查看原帖
求助帮验证该算法的时间复杂度
374185
Leo_Anderson楼主2025/7/25 11:05

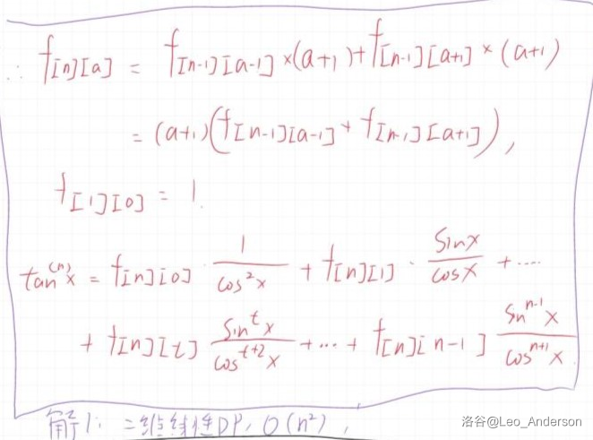
对于该草稿展示的算法,输入 nn,输出 tan(n)xtan^{(n)}x 的多项式表达形式。
这个算法的时间复杂度是 O(n2)O(n^2) 吗?
并且这里面的 f[n][a]f[n][a] 我查到的应该是zag数(A000182- OEIS , OI Wiki-Entringer Number#恩特林格数与-zigzag-数的关系 ),那么这个算法还可以通过亿些奇妙手段优化时间复杂度吗?

2025/7/25 11:05
加载中...